, 4 min read
Running bacman in parallel
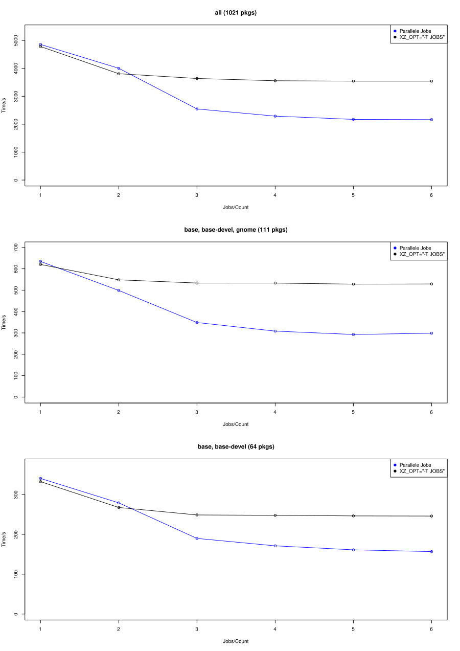
The mailing list for pacman-dev contains an interesting thread when rebuilding packages from source, i.e., running bacman in parallel. Gordian Edenhofer ran some tests on performance when running one, two, three, up to six jobs in parallel.
The results, below, clearly show that using all your cores is of great benefit:

There is an AUR alternative for bacman called fakepkg written by Gordian Edenhofer which supports this parallelism.
The measurements are as follows:
# Computer:
## nuc
CPU: i5-4250U CPU @ 1.30GHz
Mem: 8GB
# Packages: base base-devel
* Jobs: 1
real 5m40.325s
user 4m35.710s
sys 0m37.270s
* Jobs: 2
real 4m39.047s
user 4m50.913s
sys 0m35.717s
* Jobs: 3
real 3m9.770s
user 6m5.137s
sys 0m46.153s
* Jobs: 4
real 2m51.163s
user 7m25.950s
sys 0m30.090s
* Jobs: 5
real 2m41.124s
user 8m6.687s
sys 0m26.627s
* Jobs: 6
real 2m36.724s
user 8m12.370s
sys 0m24.470s
# Packages: base base-devel gnome
* Jobs: 1
real 10m34.284s
user 7m33.677s
sys 1m25.223s
* Jobs: 2
real 8m18.592s
user 8m45.407s
sys 1m45.633s
* Jobs: 3
real 5m48.511s
user 11m40.323s
sys 1m46.967s
* Jobs: 4
real 5m8.346s
user 13m47.353s
sys 1m16.640s
* Jobs: 5
real 4m52.659s
user 14m34.700s
sys 1m7.933s
* Jobs: 6
real 4m58.652s
user 14m25.353s
sys 1m6.863s
# Packages: all 1021
* Jobs: 1
real 80m56.509s
user 70m8.780s
sys 9m29.813s
* Jobs: 2
real 66m42.653s
user 75m13.030s
sys 9m57.040s
* Jobs: 3
real 43m25.701s
user 92m52.983s
sys 8m57.147s
* Jobs: 4
real 38m9.114s
user 110m5.763s
sys 6m43.427s
* Jobs: 5
real 36m12.302s
user 118m32.186s
sys 6m31.533s
* Jobs: 6
real 36m4.872s
user 118m54.449s
sys 6m35.830s
# Packages: base base-devel
* XZ_OPT="-T 1"
real 5m32.345s
user 4m22.960s
sys 0m28.610s
* XZ_OPT="-T 2"
real 4m27.433s
user 4m34.683s
sys 0m26.403s
* XZ_OPT="-T 3"
real 4m8.689s
user 4m59.597s
sys 0m20.943s
* XZ_OPT="-T 4"
real 4m7.828s
user 5m20.103s
sys 0m21.717s
* XZ_OPT="-T 5"
real 4m6.304s
user 5m20.757s
sys 0m21.817s
* XZ_OPT="-T 6"
real 4m5.932s
user 5m19.480s
sys 0m21.237s
* XZ_OPT="-T 0"
real 4m5.851s
user 5m18.137s
sys 0m20.823s
# Packages: base base-devel gnome
* XZ_OPT="-T 1"
real 10m20.164s
user 6m36.933s
sys 0m57.647s
* XZ_OPT="-T 2"
real 9m8.262s
user 6m52.057s
sys 0m57.357s
* XZ_OPT="-T 3"
real 8m53.265s
user 7m30.650s
sys 0m57.827s
* XZ_OPT="-T 4"
real 8m53.075s
user 8m1.787s
sys 0m59.480s
* XZ_OPT="-T 5"
real 8m48.173s
user 7m49.223s
sys 0m58.567s
* XZ_OPT="-T 6"
real 8m48.970s
user 7m47.837s
sys 0m56.570s
* XZ_OPT="-T 0"
real 8m49.713s
user 7m47.470s
sys 0m56.613s
# Packages: all 1021 packages
* XZ_OPT="-T 1"
real 79m42.006s
user 65m42.950s
sys 7m32.397s
* XZ_OPT="-T 2"
real 63m27.457s
user 68m57.536s
sys 6m56.100s
* XZ_OPT="-T 3"
real 60m37.071s
user 79m6.113s
sys 7m24.263s
* XZ_OPT="-T 4"
real 59m16.447s
user 85m22.746s
sys 7m35.783s
* XZ_OPT="-T 5"
real 59m2.436s
user 86m7.093s
sys 7m47.653s
* XZ_OPT="-T 6"
real 59m1.516s
user 86m18.973s
sys 7m34.320s
* XZ_OPT="-T 0"
real 58m36.010s
user 84m17.283s
sys 7m25.270s
The corresponding R-program to print the values is:
# Computer: NUC
## CPU: i5-4250U CPU @ 1.30GHz
## Mem: 8GB
# Measurement vectors
jobs = seq(1, 6)
# base and base-devel group (64 unique packages)
time_base = c(340.325, 279.047, 189.770, 171.163, 161.124, 156.724)
# base, base-devel and gnome group (111 unique packages)
time_gnome = c(634.284, 498.592, 348.511, 308.346, 292.659, 298.652)
# all packages installed at the NUC (1021 unique packages)
time_all = c(4856.509, 4002.653, 2545.701, 2289.114, 2172.302, 2164.872)
# base and base-devel group using XZ_OPT instead of true parallelization (64 unique packages)
time_xzopt_base = c(332.345, 267.433, 248.689, 247.828, 246.304, 245.932)
# base, base-devel and gnome group using XZ_OPT instead of true parallelization (111 unique packages)
time_xzopt_gnome = c(620.164, 548.262, 533.265, 533.075, 528.173, 528.970)
# all packages installed at the NUC using XZ_OPT instead of true parallelization (1021 unique packages)
time_xzopt_all = c(4782.006, 3807.457, 3637.071, 3556.447, 3542.436, 3541.516)
# Export drawing as vector graphic suitable for printing with A4
#svg("bacman: simple benchmark.svg", width=1*10, height=sqrt(2)*10)
# Define initial window size
par(mfrow=c(3, 1))
# Plot points and lines for base
plot(time_all ~ jobs, main="all (1021 pkgs)", ylim=c(0, max(time_all)*1.1), xlab="Jobs/Count", ylab="Time/s", col="blue")
lines(time_all ~ jobs, col="blue")
points(time_xzopt_all ~ jobs, col="black")
lines(time_xzopt_all ~ jobs, col="black")
legend(x="topright", legend=c("Parallele Jobs", "XZ_OPT=\"-T JOBS\""), col=c("blue", "black"), pch=c(19, 19))
# Plot points and lines for gnome
plot(time_gnome ~ jobs, main="base, base-devel, gnome (111 pkgs)", ylim=c(0, max(time_gnome)*1.1), xlab="Jobs/Count", ylab="Time/s", col="blue")
lines(time_gnome ~ jobs, col="blue")
points(time_xzopt_gnome ~ jobs, col="black")
lines(time_xzopt_gnome ~ jobs, col="black")
legend(x="topright", legend=c("Parallele Jobs", "XZ_OPT=\"-T JOBS\""), col=c("blue", "black"), pch=c(19, 19))
# Plot points and lines for all
plot(time_base ~ jobs, main="base, base-devel (64 pkgs)", ylim=c(0, max(time_base)*1.1), xlab="Jobs/Count", ylab="Time/s", col="blue")
lines(time_base ~ jobs, col="blue")
points(time_xzopt_base ~ jobs, col="black")
lines(time_xzopt_base ~ jobs, col="black")
legend(x="topright", legend=c("Parallele Jobs", "XZ_OPT=\"-T JOBS\""), col=c("blue", "black"), pch=c(19, 19))
# Write drawing to file
#dev.off()